当前位置:首页 > 通知公告

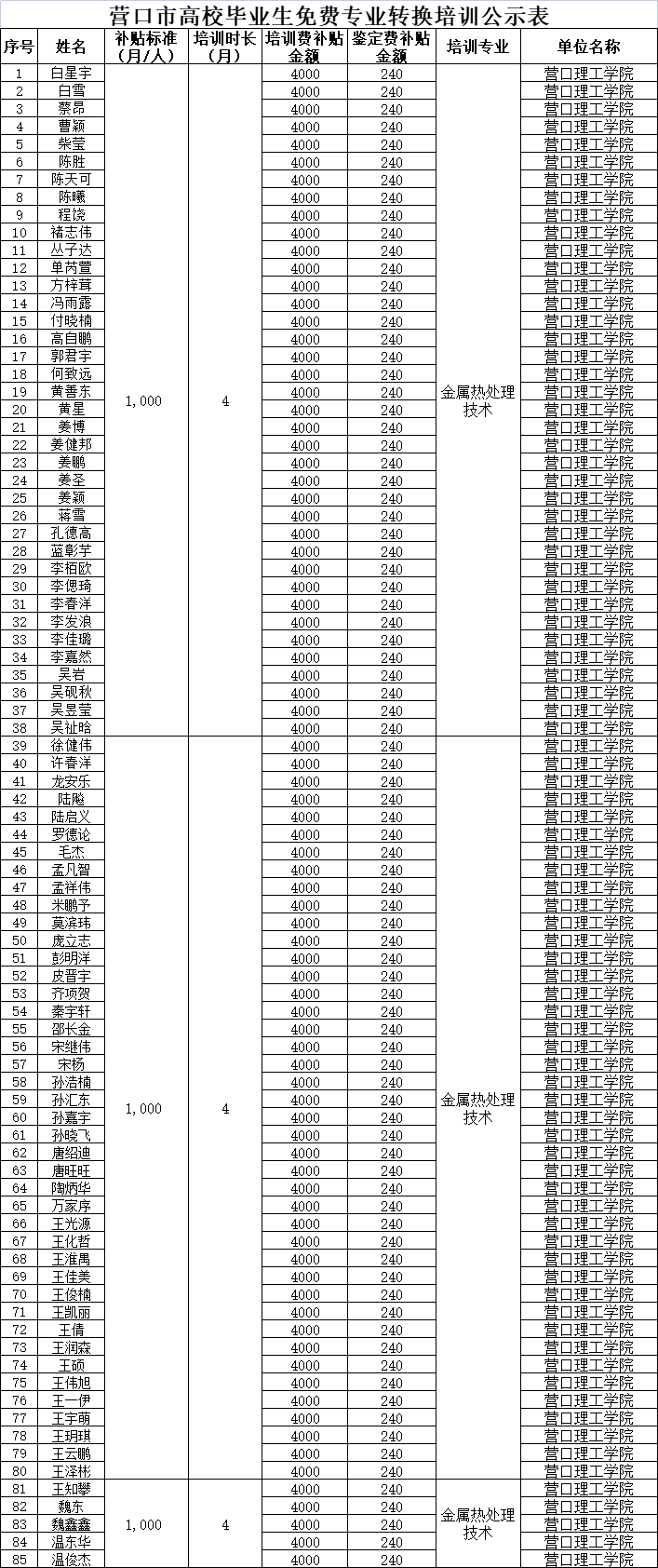
营口市高校毕业生免费专业转换培训公示表

来源:营口市人力资源和社会保障局

作者:

发布时间:2025-11-10

【字号:

分享:

  • 附件:
  • 视频:
扫一扫在手机打开当前页